Euler's formula 수족삼각형의 넓이
수족삼각형의 넓이를 구하는 문제
Euler's formula
주어진 삼각형과 수족삼각형의 넓이비
참고 : 수족삼각형
https://www.mathpeak.co.kr/2024/05/blog-post_33.html
(증명)
(관련문제 1)
주어진 삼각형과 수심삼각형의 넓이의 비
![]() |
| 출처 : 경시해제 |
(관련문제 2)
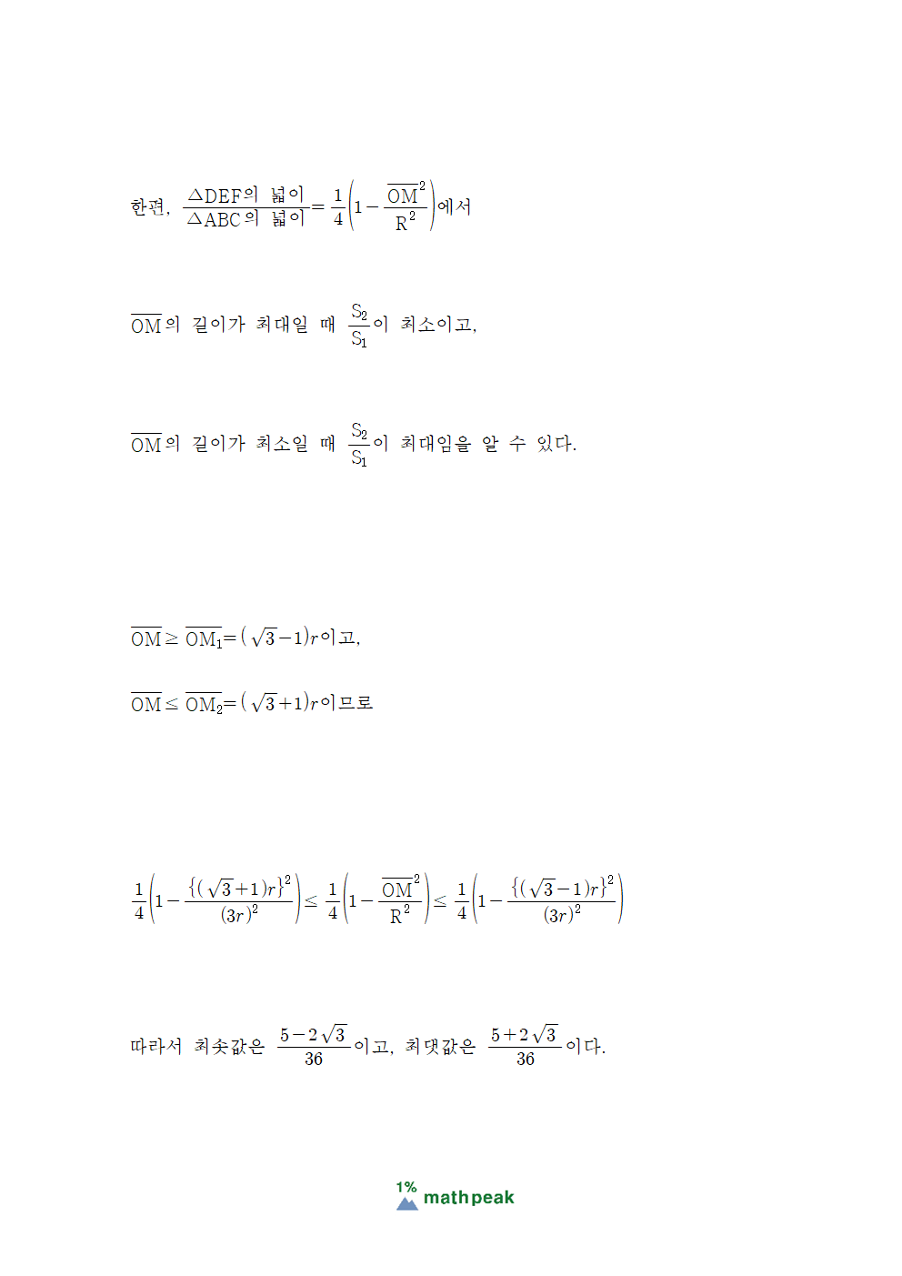
(풀이)
P가 외접원 위에 있을 때 : OP=R이므로 삼각형 DEF=0이다.
(심슨선 위에 존재-일직선이므로 삼각형이 존재하지 않는다.)
P가 외접원 밖에 있을 때 : 부호가 (-)가 된다.
참고 : 방멱
참고 : 수심삼각형의 성질








댓글
댓글 쓰기